
堤防冲刷深度计算器针对工程建筑行业的设计人员打造,能够帮助用户对河道的堤防冲刷深度进行计算,适用于河道模型制作的工作者,软件的计算范围是冲刷深度,用户需要将已知的条件输入才能够计算出相应的深度,只需填入数据即可完成计算,非常的非常方便快速,并且结果也十分精准。
软件特色
专用于计算冲刷深度:总冲刷深度为自河床面算起的河床自然演变冲刷、一般冲刷与局部冲刷深度之和。
1)基于河床演变分析的方法 , 根据河口河相关系式建立隧道断面洪水冲刷面积与钱塘江河口汛期平均流量 、最大月平均流量和洪水洪峰流量的回归预报关系 , 通过实测地形资料进行相关性和显著性检验 , 结果表明基于河床演变分析的预报模型的精度可用于实际预报 。
2)基于建立的洪水冲刷深度预报模型 , 综合研究了河段在极端洪水作用下的冲刷深度 , 探讨了模型水沙边界条件的确定 , 并对各预测模型的成果进行了讨论 。基于河床演变分析的方法 、动床数学模型及动床物理模型的预测成果与地质详勘的实测资料基本吻合 , 表明了预测模型的可靠性 , 综合研究得到的预测成果可为过江隧道的合理埋设提供科学依据 。
使用方法
打开软件输入各种数据,开始计算。
公式原理:
①顺坝及平顺护岸冲刷深度计算:

式中:hS—局部冲刷深度(m); Hp—冲刷处的水深(m); Ucp—近岸垂线平均流速(m/s); UC—泥沙的启动流速(m/s);粘性与沙质河床采用张瑞瑾公式计算,卵石n—与防护岸坡在平面上的形状有关,一般取n=1/4-1/6. 河床采用长江科学院公式计算;

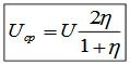
d50—河床的中值粒径(m);H0—行进水流水深(m); rs,r分别为泥沙与水的重度(KN/m3),g为重力加速度(m/s2).Ucp的计算应符合下列规定:

式中: U—行近流速(m/s); %u3B7—水流流速分配不均匀系数,根据水流流向与岸坡交角%u3B1角查表采用。
软件测评
软件相比手动计算更加准确,可以帮助工程设计人员更好地获取河道堤防冲刷深度,功能强大非常实用,提供多种公式计算原理,非常方便用户打造出更加完善的河道堤防,防止强水流冲。
以上就是堤防冲刷深度计算器的全部内容了,万能驱动网为您提供最好用的软件,为您带来最新的游戏!

版权声明:堤防冲刷深度计算器所展示的资源内容均来自于第三方用户上传分享,您所下载的资源内容仅供个人学习交流使用,严禁用于商业用途,软件的著作权归原作者所有,如果有侵犯您的权利,请来信告知,我们将及时撤销。
软件下载信息清单:
| 软件名称 | 发布日期 | 文件大小 | 下载文件名 |
|---|---|---|---|
| 堤防冲刷深度计算器安装包 | 2026年4月1日 | 431.05KB | tifghjk2013.exe |
软件评论